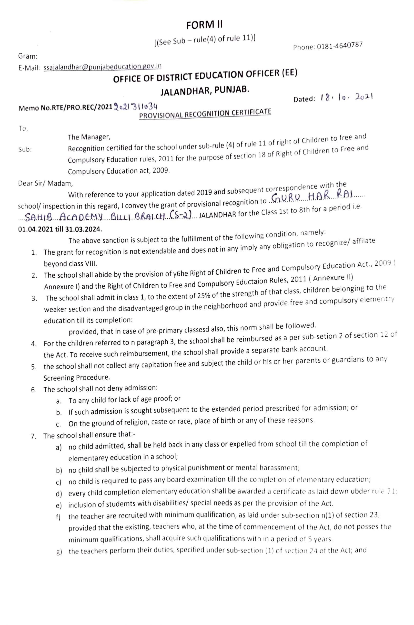
RTE CERTIFICATE